Science’s answer to the ultimate question: Where do we come from?
Questions about our origins, biologically, chemically, and cosmically, are the most profound ones we can ask. Here are today’s best answers.

In all the world, and perhaps in all the Universe, there’s no greater question one can ask than the question of one’s own origins. For us, as human beings, this comes up often in our early childhood: we see, touch, and experience the world around us, and wonder where it all comes from. We look at ourselves and those around us, and wonder about our own origins. Even when we look to the heavens, and take in the spectacular sights of the night sky — the Moon, the planets, the stars, the glorious plane of the Milky Way, plus deep-sky objects — we’re filled with a sense of awe, wondering where the lights, and perhaps even the vast, empty darkness that separates them, all came from.
For millennia, we had only stories to be our guide: mythologies and untested, unsubstantiated ideas that sprung forth from human imagination. However, the enterprise of science has, for the first time in the history of our species, brought to us compelling, fact-based answers to many of these questions that enable us to make sense not just of nature, but of the story for how we came to be. Biologically, chemically, and physically, advances in the 19th, 20th, and now 21st centuries have enabled us to weave together a rich tapestry that finally answers the question so many of us have wondered for so long: “Where do we come from?”
Here’s where we are today, right up to the frontiers of what’s currently known.

Biologically, we are the descendants of a continuous, unbroken chain of organisms that go back approximately four billion years.
You are the child of your parents: a genetic mother and father, each of whom contributed 50% of your genetic material. That genetic material contains an enormous amount of information within it, telling your body what proteins and enzymes to produce, how to configure them together, and where and when to activate a variety of responses. Your genetics explains nearly everything about your body, from your eye color to the types of red blood cells you produce to whether you have a deviated septum in your nose or not. Your mother and father, in turn, are descended from their genetic parents — your grandparents — who were in turn descended from your great-grandparents, and so on.
It turns out that as we go back, and back, and back still further, we find that organisms change over very long periods of time, evolving in the process. This evolution is driven by a combination of random mutations and natural selection, where the organisms that are most fit for survival, and most adaptable to the changes that occur in their conditions and environment, are the ones who aren’t selected against, and whose lineages continue. We can extrapolate this back, and back, and back, to when human ancestors were:
other members of the genus Homo,
mere hominids that predate the emergence of our genus,
primates that predate the evolution of hominids,
mammals that predate any primate: monkey or ape,
going all the way back to single-celled asexually reproducing organisms that existed billions of years ago.

The oldest, most long-ago evidence we have for life on Earth goes back at least 3.8 billion years: to the date at which the oldest sedimentary rocks still at least partially survive. Earth may have been inhabited even further back, as circumstantial evidence (based on carbon isotope ratios from zircon deposits in even older rocks) suggests that Earth could have been teeming with life as early as 4.4 billion years ago.
But at some point, back in the environment of our newly formed planet, we weren’t teeming with life at all. At some point, a living organism emerged on Earth for the first time. It’s possible that an outside-the-box idea, panspermia, is correct, and that the life that exists here on Earth was brought here, cosmically, from some elsewhere in space where life arose naturally from non-life.
Nevertheless, at some point in cosmic history, life did emerge from non-life. It is presently unknown exactly how that happened, and what came first:
the structure of the cell, separating a potential organism’s insides from the outside environment,
a string of nucleic acids that encoded information, enabling reproduction,
or a metabolism-first scenario, where a protein or enzyme that could extract energy from its environment formed first, and then reproduction and cellularity came afterward.
Although we aren’t certain of the pathway that it took, life did emerge from raw, non-living ingredients in the distant past.

Therefore, chemically, at some point in the past, whether on Earth or elsewhere, a metabolism-having, replicating organism emerged, creating an origin point for life.
However, Earth itself, as well as the rest of our Solar System, needed to be brought into existence in order for there to be life on Earth at all. So where did the Earth, the Sun, and the rest of the Solar System come from? To answer this question, we can look to two different aspects of nature itself:
We can look to the various radioactive isotopes (and their ratios) of elements and use them to determine the age of the Earth, the Sun, and the various primordial (asteroid and Kuiper belt) bodies in our Solar System, determining when the Solar System formed.
And then we can look at star-formation (and stellar death) all across the galaxy and Universe, determining how stars are born, live, and die, and then use that information to trace back how our Sun and Solar System came into existence.
Here in the 21st century, we’ve done both of those things quite robustly. The Solar System is about 4.56 billion years old, with the Earth being slightly younger and the Moon being about 50 million years younger than Earth. We formed from a molecular cloud of gas that contracted and formed stars, with the planets (including primordial planets that may have since been ejected or destroyed) emerging from a protoplanetary disk that surrounded our young proto-Sun. Now, more than four and a half billion years later, only the survivors — including us — remain.

Formed the same way that all stellar and planetary systems form, our own Solar System formed from the contraction of a molecular cloud that triggered new star formation, giving rise to the Earth, the Sun, and more.
Once Earth was created, life emerged on it shortly thereafter. Whether it was rooted in deoxyribonucleic acid (DNA), ribonucleic acid (RNA), or a peptide-based nucleic acid (PNA), at some point in the past, a molecule formed that encoded the production of a protein or enzyme that could metabolize energy, and that was capable of replicating and reproducing itself: a vital step toward modern, living organisms. But in order for those molecules to form, precursor molecules needed to exist: things like amino acids, sugars, phosphorus-based groups, and so on. These, in turn, required a slate of raw atomic ingredients, including:
hydrogen,
carbon,
nitrogen,
oxygen,
phosphorus,
sulfur,
calcium,
sodium,
potassium,
magnesium,
chlorine,
and much more.
But with the exception of hydrogen, the most abundant element in the Universe, none of these elements were present in the earliest stages of cosmic history. The Universe must have, somehow, created these elements, as these atomic building blocks are absolutely necessary to the formation not just of living organisms, but of rocky planets like Earth themselves.
Fortunately, we do have a cosmic story that accounts for the emergence of these elements: from the life cycles of stars. Through stellar deaths, including from Sun-like stars that die in planetary nebulae, from very massive stars that die in core-collapse supernovae, from neutron stars that collide in kilonovae, and from white dwarf stars that explode in type Ia supernovae, the heavy elements of the Universe are created and returned to the interstellar medium, where they can participate in new episodes of star formation.

This teaches us that our Sun, Earth, and Solar System were born from the ashes of pre-existing stars and stellar corpses that lived, died, and returned their processed interiors to the interstellar medium.
So that’s where humans come from, where life comes from, where the Solar System comes from, and where heavy elements come from. You need stars to make the raw ingredients to have planets; you need a late-forming star with enough heavy elements in it to make a rocky planet with the right ingredients for life; you need the right chemical reactions to kick off to create a living creature from non-life; then you need the right conditions for life to survive and thrive over geological timescales, under the pressures of natural selection, to create the diversity of life we find on Earth today, including human beings.
But in order for this to occur, you need to make stars for the very first time, and that requires a set of ingredients and conditions, too. You need neutral atoms, and in particular large numbers of hydrogen atoms, and that’s ok: they were formed in the early stages of the hot Big Bang. But you also need a non-uniform Universe: one with overdense regions that would gravitationally attract more and more matter into them, until enough matter had gathered that stars would form for the very first time. Under the laws of general relativity, based on the initial fluctuations we see in the cosmic microwave background, that’s precisely what our Universe gives us: a set of conditions and ingredients that enable the formation of stars, for the first time, from a pristine collection of neutral atoms.

Those very first stars formed early on, back before the Universe was even 2% of its present age: the furthest back that we’ve ever observed a star, galaxy, or quasar with the record-setting James Webb Space Telescope (JWST). They likely formed simply by gravitational contraction of a gas cloud, and were hindered by a lack of heavy elements to efficiently cool those clouds as they contracted, requiring very large masses to gather to trigger gravitational collapse. As a result, these first stars, which still have yet to be spotted, were likely very high in mass, and very short-lived as a result.
Although we have yet to find the first stars, representing a “missing link” in cosmic evolution, scientists can be certain they existed: in between the massive galaxies spotted by JWST and the neutral atoms formed way back at the epoch of the cosmic microwave background.
Nevertheless, we continue in our quest for the ultimate cosmic origin. Those stars must have formed from neutral atoms, and in the framework of the Big Bang — and validated by observations for 60 years, and counting — neutral atoms can only form when the Universe cools from a hot, dense, plasma state (where all of the atomic components are ionized) to a less hot, less dense state where neutral atoms are stable. In the aftermath of such a transition, a background of low-energy remnant radiation would be emitted omnidirectionally, persisting even until the present day. It was the detection of that remnant primeval radiation, now known as the cosmic microwave background (CMB), that sealed the deal for the Big Bang.

In order to create stars, the Universe needed to create neutral atoms, which were produced about 380,000 years after the onset of the hot Big Bang.
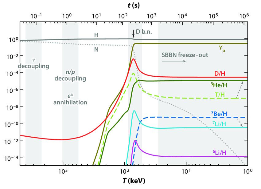
Of course, a hot, dense plasma wasn’t the beginning of things either. If you continue to extrapolate backward in time — toward a hotter, denser, more uniform state — you’d come to a time when it was too hot and dense to form atomic nuclei; you would have only had bare protons and neutrons. At still higher temperatures and earlier times, the energy of any radiation present (as well as neutrinos and antineutrinos) would have been sufficient to cause protons and neutrons to interconvert, leading to a 50/50 split between protons and neutrons.
Therefore, as the Universe expands and cools from those early conditions, and these nuclear reactions cease to occur, we should wind up with a tilted abundance of protons versus neutrons: one that favors protons. Then, as the Universe cools further, nuclear fusion reactions can proceed, first forming deuterium out of protons and neutrons and then synthesizing heavier elements, like helium, and then (if there’s enough energy) lithium and heavier elements, after that. It’s by:
measuring the baryon-to-photon ratio of the Universe,
predicting, through nuclear physics, the abundance of the light elements,
and then examining the Universe itself to learn how abundant the light elements actually are,
that we learn how Big Bang nucleosynthesis, or the science of making elements even before the first stars formed, proceeded.

And indeed, to form the Universe we see, the light elements were forged together through nuclear reactions in the early stages — the first few minutes — of the hot Big Bang.
Finally, we go back earlier and earlier, to hotter and even denser conditions. At some point, protons and neutrons cease to be meaningful entities, as the Universe takes on the conditions of a quark-gluon plasma. At high enough energies, matter-antimatter pairs spontaneously get created from photons and other particles colliding: a consequence of Einstein’s mass-energy equivalence, or E = mc². All of the particles and antiparticles of the Standard Model, even the unstable ones, were created in great abundance under these early conditions. And at early enough times, the electromagnetic force and the weak nuclear force were unified into one: the electroweak force.
And yet, despite all we know, some additional gaps and mysteries still remain.
At some point, even though we don’t know how, more matter was created than antimatter, leading to our matter-dominated Universe today.
Before that, were there additional unifications that occurred? Was gravity, at some point, unified with the forces of the Standard Model, and was there a Theory of Everything that described reality?
We don’t know. But we do know that the hot Big Bang, even at its hottest, wasn’t the very beginning of everything. Instead, the conditions that the Big Bang was born with:
perfect spatial flatness,
a lack of leftover, high-energy relics,
with a maximum temperature well below that of the Planck scale,
with the same temperatures and densities everywhere and in all directions,
with tiny, 1-part-in-30,000 overdensities and underdensities superimposed atop them on all scales,
including on super-horizon scales,
are exactly the conditions that a phase of cosmic inflation, predating and setting up the Big Bang, would have predicted.

Before the Big Bang, the Universe wasn’t dominated by matter or radiation, but by energy inherent to space itself, in a phase known as cosmic inflation.
And this, at last, is where our knowledge comes to an end: not with a gap, but rather with a cliff of ignorance. Inflation, by its very nature, is a period where there was an incredible amount of energy locked up in the fabric of empty space itself. In this state, space expands at a relentless, exponential pace, doubling in size in all three dimensions in just a tiny fraction of a second, and then doubling again and again and again with each subsequent fraction of a second that elapses.
However, because our observable Universe is of a finite size, this means that only the final small fraction-of-a-second of inflation leaves any imprint on our Universe; it’s from that brief epoch that we’ve been able to determine that inflation occurred at all. For everything that came before it, including:
answers to the question of how long inflation endured,
answers to the question of whether inflation was eternal or whether it started from some pre-inflationary conditions,
what those pre-inflationary conditions were,
and whether there was an ultimate beginning to, say, what we think of as the fundamental entities of space, time, and the laws of physics that govern them,
we simply have no information, only speculations. Science, remember, doesn’t give us the ultimate answers to our inquiries, it simply gives us the best approximation of reality, given our current state of knowledge, that is consistent with all the evidence we’ve collected to this point. We’ve come incredibly far in our quest to make sense of the Universe, and while there are still open questions that science is pursuing, the broad strokes — plus a great many details — of “where we come from” are finally known.
Ethan Siegel, Ph.D., is an award-winning theoretical astrophysicist who's been writing Starts With a Bang since 2008. You can follow him on Twitter @StartsWithABang.
Get more from Big Think:
Big Think | Mini Philosophy | Big Think Books | Big Think Business





Fascinating read and a timely one for me because I am also reading "The greatest show on earth" by Richard Dawkins that addresses this same question.
For me, while I believe today's living beings are the result of evolution due to natural selection over millions/billions of years, I also feel the need to believe in a power (call it God) greater than us. Carrying this dichotomy and opposing beliefs in my mind at the same time is not only challenging but entertaining as well. I hope to discover, someday, a long-form writeup that will help my internal dichotomy.
Evolution via 'Natural Selection:'...good enuff 4me.
Come up with better one otherwise...
and skip the GOD nonsense ok?
Jaymac